2018年造价工程师《造价管理》考点:现金流量与资金的时间价值
2018年造价工程师考试即将来临,为了帮助各位考生更好的备战,考无忧网校为广大考生整理了造价工程师《建设工程造价管理》考点练习,以供大家参考学习!
【考点】现金流量与资金的时间价值
【核心知识点1】现金流量
现金流量表示方法 |
现金流量表 | 要会应用 |
现金流量图 | 掌握“三要素”与现金流量图绘制规则 |
【核心知识点2】资金的时间价值
利息:利息是资金时间价值的一种重要表现形式,甚至可以用利息代表资金的时间价值。通常,用利息作为衡量资金时间价值的绝对尺度,用利率作为衡量资金时间价值的相对尺度。
利息占用资金所付的代价或者是放弃现期消费所得的补偿。
利息I=目前应付(应收)总金额F-本金P
利率:
1、计算公式
利率i=(单位时间内所得的利息额It/本金P)×100%
2、影响利率的因素:利率的高低主要由以下因素
1)社会平均利润率。
2)借贷资本的供求情况。
3)借贷风险。
4)通货膨胀。
5)借出资本的期限长短
复利和单利的关系:
如果本金越大,利率越高,年数越多时,两者差距就越大。在工程经济分析中,一般采用复
利计算。间断复利、连续复利的概念。在实际应用中,一般均采用间断复利。
等值计算公式:
公式名称 | 已知项 | 欲求项 | 系数符号 | 公式 |
一次支付终值 | P | F | (F/P,i,n) | F=P(1+i)n |
一次支付现值 | F | P | (P/F,i,n) | P=F(1+i)-n |
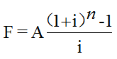
等额支付现值 | A | F | (F/A,i,n) | 
|
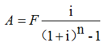
偿债基金 | F | A | (A/F,i,n) | 
|
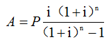
资金回收 | P | A | (A/P,i,n) | 
|
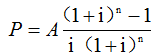
年金现值 | A | P | (P/A,i,n) | 
|
【核心知识点3】名义利率和有效利率
名义利率:
名义利率r是指计息周期利率i乘以一个利率周期内的计息周期数m所得的利率周期利率。即:r=i·m
有效利率:
有效利率是指资金在计息中所发生的实际利率,包括计息周期有效利率和利率周期有效利率两种情况。
1)计算周期有效利率:i=r/m
2)利率周期有效利率:

特别注意:
①有效利率和名义利率实际是单利和复利的关系。
②名义利率采用单利法;有效利率采用复利法。
③在名义利率 r 一定时,计息周期数 m 越多,实际利率和名义利率相差越大。
小编推荐:
点击这里查看>>>造价工程师考试网
想要顺利通过一级建造师考试吗?>>>造价工程师考试试题>>>造价工程师考试题库